
Knight, David Jonathan, and Vesla Weaver. “Black Political Mobilization and the U.S. Carceral State: How Tracing Community Struggles for Safety Transforms the Policing Narrative.” Annual Review of Criminology. Vol. 8. https://doi.org/10.1146/annurev-criminol-111523-122329
Abstract: This review integrates recent scholarship outside of criminology with primary source material from a broadened source base to trace underappreciated histories of political struggle to secure safety and address harm in Black communities. Much of the existing literature in criminology and related social science fields tends to overlook bottom-up sources and the creative safety practices and sites of safety provision that exist beyond the state, and in so doing, contribute to a lopsided empirical narrative of policing in the United States. This review, however, highlights the centrality of Black-led political mobilization, formal and informal, to articulating alternate visions of safety beyond policing and to building alternate structures to transform the legal system and challenge racial criminalization. Examples include community patrols, the efforts of Black police to confront violence in their own departments, and national campaigns to challenge punitive legislation. Unearthing these often marginalized and misrecognized histories and sources of Black-led struggle for community safety enables an analysis of not only the forms that community-led practices and interventions can take but also the ongoing state-produced conditions—referred to in this review as safety deprivation—that give rise to them. More broadly, this review uses these histories as a lens through which to consider how empirical narratives of policing and safety are transformed when community derived, bottom-up knowledge sources are accounted for both substantively and methodologically and offers the field a guide of available databases.
Link: https://www.annualreviews.org/content/journals/10.1146/annurev-criminol-111523-122329
This review highlights the centrality of Black-led political mobilization, formal and informal, to articulating alternate visions of safety beyond policing and building alternate structures to transform the legal system and challenge racial criminalization. Examples include community patrols, the efforts of Black police to confront violence in their own departments and stand up structures of responsiveness, and national campaigns to challenge punitive legislation and offer alternatives.
We consider two local reparations cases—the Evanston Restorative Housing Program and Chicago reparations for police torture survivors. We argue that the programs are shaped by the differing political opportunities, the local context, and the social location of their advocates given that one was constructed within government systems in Evanston and the other largely by grassroots organizers in Chicago.
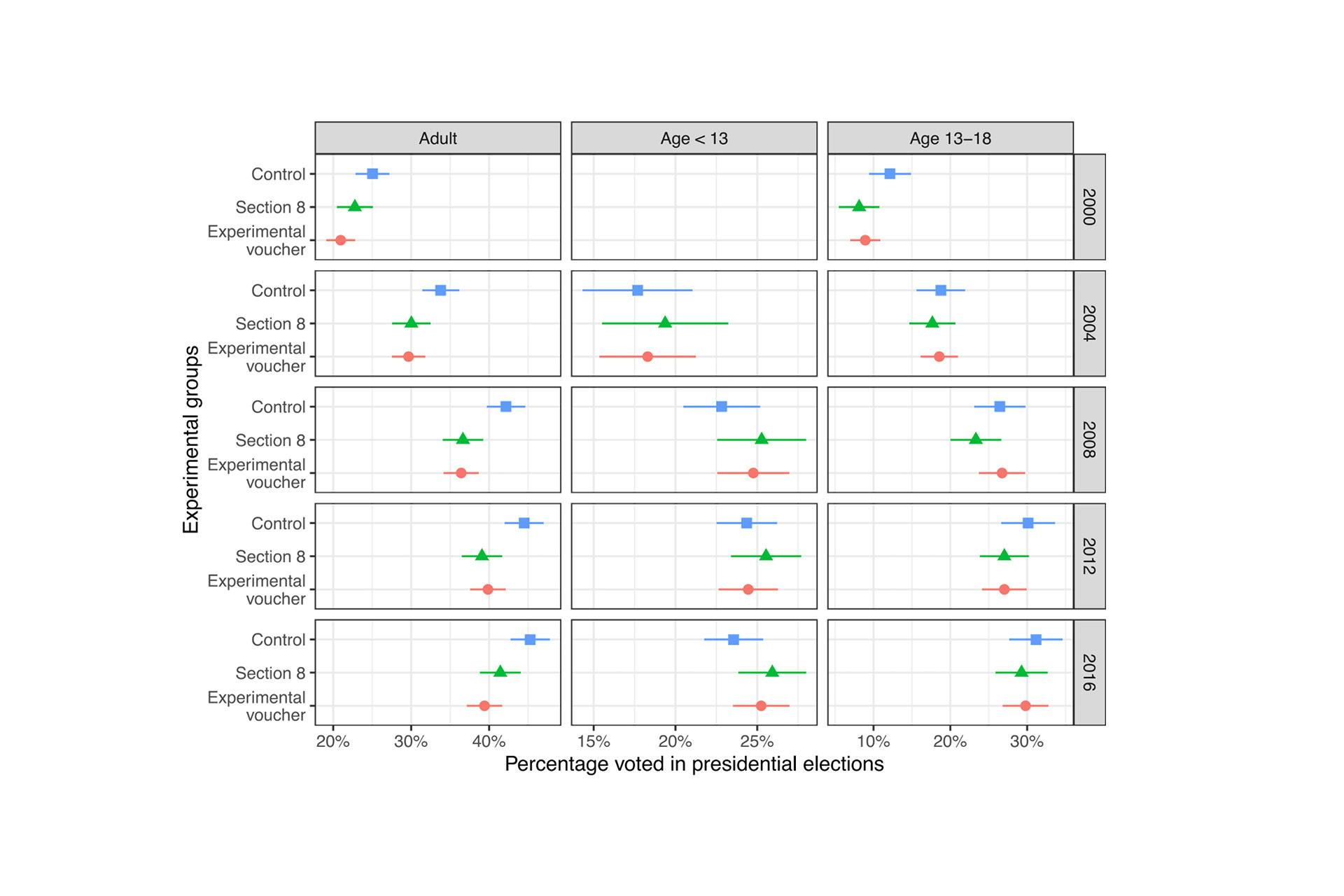
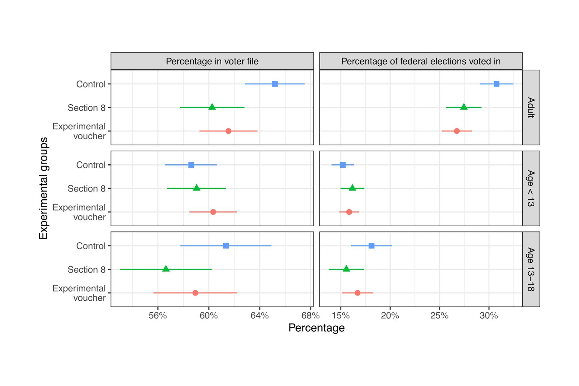
This study examines the impact of residential mobility on electoral participation among the poor by matching data from Moving to Opportunity, a US-based multicity housing-mobility experiment, with nationwide individual voter data. Notably, the study finds that receiving a housing voucher to move to a low-poverty neighborhood decreased adult participants’ voter participation for nearly two decades—a negative impact equal to or outpacing that of the most effective get-out-the-vote campaigns in absolute magnitude.