
David J. Knight is Assistant Professor of Sociology and Black Studies at Yale University, where he is also part of the Justice Collaboratory at Yale Law School.
A political sociologist of the carceral state, David is interested in how social change occurs in contexts of political repression and dispossession. Specifically, he investigates how communities experience mass incarceration and mobilize in response to it. This research agenda sits at the intersection of sociology, Black studies, and political science, and it spans cross-disciplinary fields ranging from carceral studies and social movements to public policy and health.
His research, which uses data ranging from in-depth interviews to large-scale experiments, has appeared in the American Sociological Review, American Journal of Sociology, Proceedings of the National Academy of Sciences, and RSF: The Russell Sage Foundation Journal of the Social Sciences among other venues.
David earned his doctorate from the University of Chicago.
Prior studies cast U.S. imprisonment as politically demobilizing. This article complicates that proposition by exploring when, and how, threat under penal confinement leads people to mobilize. Using interviews with currently incarcerated and recently released men across three states, I show that although imprisonment generally fosters political inaction, collective mobilization does arise under certain conditions.
Imprisonment is recognized as routine in the lives of disadvantaged young men. Scholars center the impact of relatively brief prison experiences on postprison early adulthood, but this approach overlooks the many who are imprisoned for long periods. This study addresses this concern by analyzing interviews with African American and Afro-Latino men who were sentenced as youth and early adults to long prison terms. Prison-like conditions pervaded men’s life histories in ways that shaped how they made sense of incarceration and early adulthood.
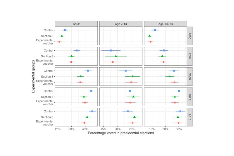
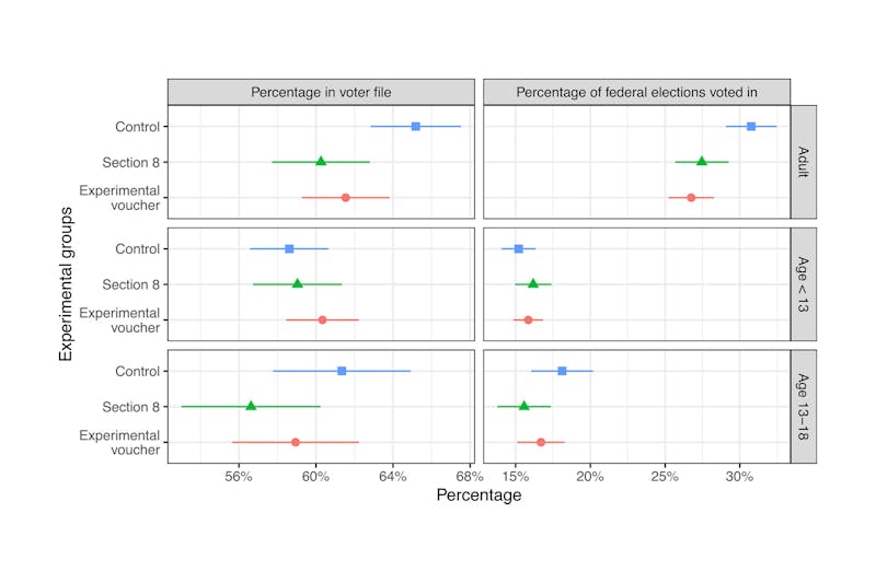
This study examines the impact of residential mobility on electoral participation among the poor by matching data from Moving to Opportunity, a US-based multicity housing-mobility experiment, with nationwide individual voter data. Notably, the study finds that receiving a housing voucher to move to a low-poverty neighborhood decreased adult participants’ voter participation for nearly two decades—a negative impact equal to or outpacing that of the most effective get-out-the-vote campaigns in absolute magnitude.
This review highlights the centrality of Black-led political mobilization, formal and informal, to articulating alternate visions of safety beyond policing and building alternate structures to transform the legal system and challenge racial criminalization. Examples include community patrols, the efforts of Black police to confront violence in their own departments and stand up structures of responsiveness, and national campaigns to challenge punitive legislation and offer alternatives.